벨만-포드 알고리즘
벨만-포드 알고리즘은 최단 경로를 찾는 대표적인 기법 중 하나이다. 이 글은 고려대 김선욱 교수님과 역시 같은 대학의 김황남 교수님 강의와 위키피디아를 정리한 https://ratsgo.github.io/에서 발췌하여 정리함을 먼저 밝힙니다.
개념
최단경로 문제의 optimal substructure를 확장하면 최단경로를 다음과 같이 분해(decompostion)할 수 있습니다. 시작노드 s에서 v에 이르는 최단경로는 s에서 u까지의 최단경로에 u에서 v 사이의 가중치(거리)를 더한 값이라는 겁니다.

벨만-포드 알고리즘은 s,u 사이의 최단경로를 구할 때 그래프 내 모든 엣지에 대해 edge relaxation을 수행해 줍니다. 그러면 이를 몇 번 수행해야 할까요? 생각해 보면 s,u 사이의 최단경로는 s와 u뿐일 수 있고, u를 제외한 그래프의 모든 노드 (|V|−1개)가 s,u사이의 최단경로를 구성할 수도 있습니다. 따라서 벨만-포드 알고리즘은 모든 엣지에 대한 edge-relaxation을 |V|−1회 수행합니다.
수행예시1
하단 좌측 그림과 같은 그래프에 벨만-포드 알고리즘을 적용해 보겠습니다. 우선 시작노드 A를 제외한 모든 노드의 거리를 무한대로 초기화합니다. edge relaxation 순서는 order와 같습니다(예시를 위해 정해놓은 것일 뿐입니다).

상단 좌측 그림 차례입니다. (B,E)의 경우 8-2=6이고 이는 기존 거리(무한대)보다 작으므로 6을 E에 기록해 둡니다. (C,E)의 경우 -2+3=1이고 이는 기존 거리(6)보다 작으므로 1을 E에 기록해 둡니다. (F,C)의 경우 무한대+9=무한대이므로 업데이트할 필요가 없습니다. (D,F)의 경우 4+5=9이고 이는 기존 거리(무한대)보다 작으므로 9를 F에 기록해 둡니다. (C,B)의 경우 -2+7=5이고 이는 기존 거리(8)보다 작으므로 5를 B에 기록해 둡니다. (C,D)의 경우 -2+1=-1이고 이는 기존 거리(4)보다 작으므로 -1을 D에 기록해 둡니다.
(A,B)의 경우 0+8=8이고 이는 기존 거리(5)보다 크므로 업데이트할 필요가 없습니다. (A,C)의 경우 0-2=-2이고 이는 기존 거리(-2)와 같으므로 업데이트할 필요가 없습니다. (A,D)의 경우 0+4=4이고 이는 기존 거리(-1)보다 크므로 업데이트할 필요가 없습니다. 이로써 그래프 모든 엣지에 대한 두번째 edge relaxation이 끝났습니다.
이번엔 상단 우측 그림 차례입니다. (B,E)의 경우 5-2=3이고 이는 기존 거리(1)보다 크므로 업데이트할 필요가 없습니다. 이는 (C,E), (F,C) 또한 마찬가지입니다. (D,F)의 경우 -1+5=4이고 이는 기존 거리(9)보다 작으므로 4를 F에 기록해 둡니다. (C,B), (C,D), (A,B), (A,C), (A,D)는 모두 기존 거리보다 크므로 업데이트할 필요가 없습니다. 이로써 그래프 모든 엣지에 대한 세번째 edge relaxation이 끝났습니다.
벨만-포드 알고리즘은 시작노드를 제외한 전체 노드수 만큼의 edge relaxation을 수행해야 합니다. 위 예시의 경우 총 5회 반복 수행해야 합니다. 그런데 네번째 edge relaxation부터는 거리 정보가 바뀌지 않으므로 생략했습니다.
negative cycle
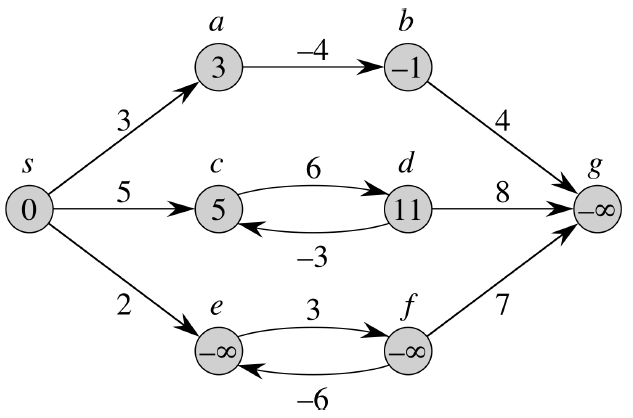
다익스트라 알고리즘(Dijkstra’s algorithm)과 달리 벨만-포드 알고리즘은 가중치가 음수인 경우에도 적용 가능합니다. 그러나 다음과 같이 음수 가중치가 사이클(cycle)을 이루고 있는 경우에는 작동하지 않습니다.

위 그림에서 c,d 그리고 e,f가 사이클을 이루고 있는 걸 확인할 수 있습니다. c,d의 경우 사이클을 돌 수록 거리가 커져서 최단경로를 구할 때 문제가 되지 않습니다. 반면 e,f의 경우 사이클을 돌면 돌수록 그 거리가 작아져 벨만-포드 알고리즘으로 최단경로를 구하는 것 자체가 의미가 없어집니다.
따라서 그래프 모든 엣지에 대해 edge relaxation을 시작노드를 제외한 전체 노드수 만큼 반복 수행한 뒤, 마지막으로 그래프 모든 엣지에 대해 edge relaxation을 1번 수행해 줍니다. 이때 한번이라도 업데이트가 일어난다면 위와 같은 negative cycle이 존재한다는 뜻이 되어서 결과를 구할 수 없다는 의미의 false를 반환하고 함수를 종료하게 됩니다. 벨만-포드 알고리즘 전체의 의사코드는 다음과 같습니다.

계산복잡성
벨만-포드 알고리즘은 그래프 모든 엣지에 대해 edge relaxation을 시작노드를 제외한 전체 노드수 만큼 반복 수행하고, 마지막으로 그래프 모든 엣지에 대해 edge relaxation을 1번 수행해 주므로, 그 계산복잡성은 O((|V||E|))이 됩니다. 그런데 dense graph는 엣지 수가 대개 노드 수의 제곱에 근사하므로 간단하게 표현하면 O((|V|^3)이 됩니다. 이는 다익스트라 알고리즘(O(|V|^2)보다 더 큰데, 벨만-포드 알고리즘은 음수인 가중치까지 분석할 수 있기 때문에 일종의 trade-off라고 생각해도 될 것 같다는 생각이 듭니다.
'algorithm > theory' 카테고리의 다른 글
| Prim 알고리즘 (0) | 2023.08.09 |
|---|---|
| 이진 탐색 트리(Binary Search Tree) (0) | 2023.08.01 |
| 다익스트라(Dijkstra) 알고리즘 (0) | 2023.07.22 |
| 플로이드 와샬(Floyd Warshall) 알고리즘 (0) | 2023.07.21 |
| 소수(Prime number) 판별법/ javaScript (0) | 2023.06.01 |